Universidad de Guayaquil
Facultad de Ingeniería Química
Carrera de Ingeniería Química
|
|
Nombre:
|
María Fernanda Díaz
|
Asignatura:
|
Matemáticas 1
|
Paralelo:
|
1er semestre B
|
Fecha:
|
25/01/2016
|
Docente:
|
Ing. Manuel Fiallos
|
Límite de una función
En las aplicaciones de la definición de límite, se presenta usualmente casos como el siguiente: Se tiene una variable “v” y una función dada z de “v” y se supone que la variable v recibe valores tales que v cuando tiende a l. Si efectivamente existe una constante a tal que el límite z igual a, entonces se expresa esta relación.
Lim z =a
Ʊ:l
Ejemplo:Lim f (x)=x^2+3x+2
x→ =(5)^2+3(5)+2=4
Lim f (x)
x→5=42
Ejercicios:
1) Demostrar que el límite de x^2 cuando x tiene a 2 es igual a 4.
Lim x^2=4 Lim x^2
x→2 x→2
f(x)=x^2 Lim x^2
f (2)=4 x→2=4
2)Demostrar que el limite (z^2-9)/(z-2) cuando z tiende a 2 es igual a (-5)/4
Lim (z^2-9)/(z+2)= (-5)/9
Lim (z^2-9)/(z+2)= ((2)^2-9)/((2+2) )= (-5)/4
Z→2
Funciones continuas y descontinuas
Determine el lim de x^2+4x cuando x tiende a 2.
Lim (x^2+4x)=(2)^2+4(2)=12
x→2
Se dice que una función f (x) es continua para x=a si el límite de la función, cuando x tiende hacia “a” es igual al valor de la función para x =a.
Lim f(x)
x→ = f(a)
Entonces f(x) es continua para x=a. Se dice que la función es discontinua para x=a cuando no se satisface esta condición.
Caso 1: f(x)= (x^2-4)/(x-2) Para x = 1
f(1)=((1)^2-4)/(1-2)= (-3)/(-1)=3
Lim (x^2-4)/(x-2)=
x→1
Lim f(x)=f(0)continua
x→a
Caso 2: Si f(x) no está definida para x=a pero el límite de a cuando x→a es igual a B.
Lim f(x)
x→a=B Discontinua
Entonces f(x) será continua para x= a, si se tomó como valor f(x) para x= a el valor B.
Lim (x^2-4)/(x-2)= f(x) ((2)^2-4)/(2-2)=0/0 f(x)=((x+)(x-2))/((x-2))= Lim f(x)=x+2=4
x→2
Infinito
Si el valor numérico de una variable v llega a ser y permanecer mayor a cualquier numero positivo asignado de antemano por grande que este sea, decimos que v se vuelve infinito si v toma solamente valores positivos se hace infinitamente positivo o infinitamente positivo. Si se toman valores negativos se hace infinitamente negativo.
Lim v=⋈
Lim v=⋈+1
Lim v=⋈-1
Lim 1/x=⋈
x→0
Lim 1/x=⋈+
x→0+
Lim 1/x=⋈-
x→0-
Ejercicios:
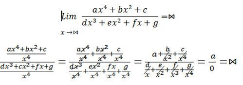
1) Demostrar que el limite (2x^3-3x^2+4)/(5x-x^2-7x^3 ) cuando x→⋈ es igual a -2/7
2) Demuestre la siguiente función:
3) Demuestre la siguiente función:
4) Demuestre las siguiente función:
6) Demuestre la siguiente función:
7) Demuestre la siguiente función:
8) Demuestre la siguiente función:
Derivada de una función derivable
La derivada de una función es el límite de la razón del incremente de la función al incremente de la variable independiente cuando este tiende a 0.
dy/dx=Lim ∆y/∆x=(f(x+∆x)-f(x))/∆x
y^´,f´(x)¸dy/dx, y=dy/dt (Velocidad instantanea pendiente de la recta tangente)
y´´,f´´(x)¸(d^2 y)/(dx^2 ), y=(d^2 y)/(dt^2 ) {aceleración }
y´´´,f´´´(x)¸ d^3/(dx^3 ), {Velociadad de aceleración}
y´´´,f´´´(x)¸ d^3/(dx^3 ), {Velociadad de aceleración}
f(x)= x^2(f(x+∆X)^2-x^2)/∆x=(x^2+2x∆x+∆x^2-x^2)/∆x=(2x∆+∆^2)/∆=(∆x(2x+∆x))/∆x=2x+∆x=2x
y=x^2
y´=2x
y=x^2
y´=2x
Ejercicios:
f(x)→x^3 f(x+∆x)=(x+∆x)^3
Lim ∆y/∆x
∆x→0
f(x)=(x+2)^2
f´(x)= dy/dx
f´(x)= dy/dx= dy/dx (ax^2 )+d/dx (bx)+d/dx(c)
La derivada de una constante es 0
f´ˌ(x)=2ax+b
d/dx (a)=0 d/dx (x^2 )=2x d/dx (x^n )=nx^(n-1)
d/dx (x)=0 d/dx (x^4 )=4x^3 d/dx (2x)=x dx/dx=2
d/dx (3x^2 )=3d/dx(x^3)=6x
Derivar la siguiente función:
f(x)=(x+2)^2
f(x)= x^2+4x+4
f´´(x)= dy/dx=d/dx (x^2 )+d/dx (4x)+d/dx(4)
dy/dx=2x+4 dx/dx=2x+4
Entonces la primera derivada es la pendiente tangente a una curva.
f(x)=2√x
f´(x)=dy/dx=d/dx=(2√x)=2 d/dx (√x)=2(1/(2√x))=(1/√x)
d/dx (x^(1⁄2) )= 1/2 x^(1⁄(2-1))=x^((-1)⁄2)/2=1/(2√2)
Derivar la siguiente función:
f(x)=2√x+1/x
f´(x)=dy/dx=d/dx(2√x)+d/dx (1⁄x)=(2d(√x))/dx+(d(x^(-1)))/dx=1/√x-1/x^2
x^(-2)=-2x^(-2-1)=2x^(-3)=(-2)/x^3
x^(-2)=1/x^2 =(-2)/x^3









No hay comentarios:
Publicar un comentario